$title="И.Э.Секоян (Ереван, Армения). Алекситимия: предиктор, признак психосоматизации или личностная характеристика?"; $pre="kyrmayer.htm"; $next="hudoyan.htm"; require($_SERVER['DOCUMENT_ROOT'] . '/inc/_hdr.php'); ?>
Ереванский государственный медицинский университет им.Мхитара Гераци
Ключевые слова: алекситимия, возрастные особенности, личностные типы, депрессия,тревога
Феномен алекситимии рассматривается преимущественно в качестве предиктора и признака психосоматической патологии [1,7,9,11,13,16,25,26], эмоционального расстройства, ассоциированного с тревогой и депрессией [14,15,18,21,22], компонента пострессовых расстройств и психопатологических синдромов [8,10,27,32,35], как и своеобразной личностной характеристики [17,19,20,23,29,33,34]. На основе существующих представлений о двойственной природе механизмов, лежащих в основе феномена алекситимии и включающих правополушарный (аффективный) и левополушарный (когнитивный) компоненты, выделены ее I и II типы [2,3]. Описанный впервые P.E.Sifneos феномен алекситимии, включает в себя пониженную способность в адекватном восприятии, переработке и вербализации эмоций. Более развернутая характеристика алекситимии – это сложность в проведении различий между чувствами и соматическими ощущениями, бедность фантазии, воображения, большая сфокусированность на внешних событиях, чем на внутренних переживаниях, недостаточно дифференцированные субъект-объектные отношения [12,30,31].
Целью исследования явилось изучение возрастных и гендерных особенностей алекситимии у лиц различных возрастных групп и ее взаимосвязи с некоторыми характеристиками эмоционально-личностной сферы.
Материал и методы
В исследование были вовлечены 408 практически здоровых лиц, включая 157 мужчин (38.5%) и 251 женщина (61.5%), распределенных по возрастному признаку в три группы.
В I группу вошли 234 респондентов в возрасте от 19 до 30 лет, средний возраст 22.7±2.8 лет, мужчин - 102(43.6%) женщин - 132(56.4%).
Во II группу вошли 81 респондентов в возрасте от 31 до 50 лет, средний возраст 38.7±6.2 лет, мужчин - 25(30.9%), женщин - 56(69.1%).
В III группу вошли 93 респондентов в возрасте от 51 до 65 лет, средний возраст 57.4±4.4 года, мужчин - 30(32.3%), женщин – 63(67.7%).
В I группу респондентов были включены студенты и обучающиеся в сфере постдипломного образования.
Группы II и III были представлены контингентом респондентов интеллектуального профиля деятельности из числа сотрудников, работающих на момент обследования в сфере науки и образования. Все респонденты выразили информированное согласие участвовать в проекте. Использование стандартизированных опросников самооценки позволило обеспечить максимальную степень невовлеченности исследователя в процесс сбора информации. Выбор подходов, соответствующих требованиям, преъявляемым к психометрическим исследованиям [24] и анализу их результатов [28], позволил обеспечить максимально объективную информацию. Все процедуры, связанные с проведением опроса респондентов, кодированием информации, формированием банка данных, хранением первичного материала и результатов его обработки, проведены с соблюдением этических норм [4].
В работе использованы следующие психометрические стандартизированные тесты:
Eysenck Personality Inventory (EPI), предназначенный для изучения личностных характеристик, включающий шкалы для определения ряда параметров: искренность/скрытность (EPI-1), интраверсия/экстраверсия(EPI-2), эмоциональная устойчивость/неустойчивость (EPI-3), темперамент: флегматик, холерик, сангвиник, меланхолик (EPI-4);
Test Rotter, используемый для выявления экстернального/интернального типа личности;
Toronto Alexithymia Scale (TAS), для выявления неалекситимического, невыраженного и алекситимического типов личности;
Staite-Trait Anxiety Inventory (STAI), для выявления высокого уровня реактивной тревоги (STAI-I) и личностной тревожности (STAI-II);
Beck Depression Inventory (BDI), опросник дающий возможность дифференцировать легкий уровень депрессии ситуативного или невротического генеза.
Обработка и стандартизированная интерпретация результатов тестирования осуществлялась с помощью компьютерной программы. Для статистического анализа полученных данных использовали программу: STATISTICA 6.0, Basic statistic: t-test single sample и Nonparametric Statistic: Correlation [Spearman, Kendall Tau]. Для определения силы связи между ассоциированными факторами эмоционально-личностной сферы использовали STATISTICA 6., Multiple Linear Regression. Факторный анализ проводили по программе STATISTICA 6.0, Multivariate Exploratory Techniques: Factor Analysis. Построение графиков осуществлялось с помощью программы GraphPad Prism4. Возраст респондентов выражен в M±SD, психометрические показатели - в баллах (M±SE).
При проведении психометрических исследований критерием включения респондентов являлась характеристика искренность/скрытность, для изучения которой использовали шкалу EPI-1. Установлено, что в общей выборке тест на искренность преодолели 78.6% респондентов (82.2% мужчин, 76.4% женщин). В I-ой возрастной группе гендерных различий в искренности не выявлено, во II-ой группе процент искренности в целом снижался за счет женщин, в III-ей группе процент искренности значительно падал как у мужчин, так и у женщин (рис.1).

Рис.1. Процентное распределение респондентов по показателю искренности, согласно результатам тестированиия по EPI-1.
На основании проведенного тестирования респонденты, не проявившие в данном исследовании искренности (87 человек), были исключены из выборки и не подверглись дальнейшему обследованию. Таким образом в работе представлены данные психометрических исследований, выполненных на 321 респонденте (129 мужчин, 192 женщин).
Согласно результатам исследований, в общей выборке алекситимический тип личности (в дальнейшем алекситимия) по шкале TAS выявлен в 34.3% случаев (31.0% - у мужчин, 36.6% - у женщин). Установлено, что алекситимия чаще выявляется у женщин всех возрастных групп, резко снижаясь среди мужчин III-ей возрастной группы (рис.2).

Рис.2. Особенности возрастного и гендерного распределения алекситимии. Обозначения: слева - распределение респондентов согласно результатам тестирования по шкале TAS, справа – гендерное распределение алекситимического типа личности.
С целью изучения взаимосвязи алекситимии с особенностями эмоционально-личностной сферы респондентов, в исследуемых группах изучали распределение лиц с такими характеристиками как интраверсия/экстраверсия, эмоциональная устойчивость/неустойчивость и тип темперамента.
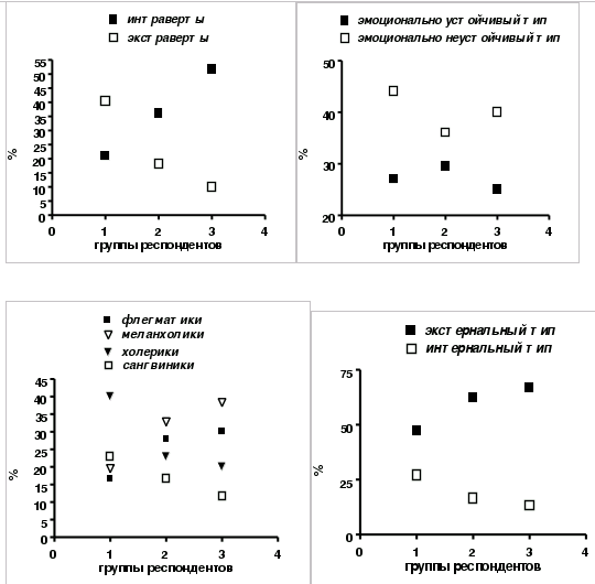
Данные тестирования по шкале EPI-2 показали, что среди обследованных с возрастом отмечается увеличение числа интравертов и уменьшение числа экстравертов. Как известно, понятие интраверсия включает в себя направленность человека на собственный субъективный мир, поглощенность своими внутренними переживаниями, в ущерб восприятия им окружающей действительности, между тем как категория экстраверсия – это, в большей мере, обращенность личности на внешний мир, чем на самого себя и свои внутренние переживания.
Согласно результатам тестирования по шкале EPI-3, во всех возрастных группах преобладали респонденты с эмоционально неустойчивым типом личности. Для выявления типов темперамента использовали модель “круг Eysenck”, согласно которой, экстраверсия в сочетании с эмоциональной неустойчивостью характеризует холерика, а в сочетании с эмоциональной устойчивостью – сангвиника. Аналогично, интраверсия в сочетании с эмоциональной неустойчивостью характеризует меланхолика, а с эмоциональной устойчивостью – флегматика. Установлено, что в возрастной динамике отмечается тенденция к увеличению числа флегматиков и меланхоликов и, соответственно, уменьшение числа холериков и сангвиников.
Результаты тестирования по опроснику Rotter свидетельствуют, что с возрастом наблюдается увеличение числа респондентов с экстернальным типом личности и уменьшение - с интернальным типом, что имеет существенное значение для интегральной характеристики эмоционально-личностной сферы, поскольку, в рамках концепции экстернальность/интернальность, или локус контроля, интернальность характеризуется склонностью человека возлагать ответственность за происходящее в его жизни на себя, а экстернальность, склонностью приписывать причины происходящего внешним факторам – окружающей среде, судьбе, случаю (рис.3).

Рис.3. Распределение респондентов различных возрастных групп по эмоционально-личностным характеристикам и темпераменту.
Изучение процентного распределения лиц с алекситимией среди респондентов с различными характеристиками эмоционально-личностной сферы позволило выявить, что среди интравертов и экстравертов I-ой группы алекситимия встречается почти с одинаковой частотой, выраженно доминируя у лиц с эмоционально неустойчивым и экстернальным типом личности. Во II-ой группе процентное распределение алекситимии у лиц с интернальным и экстернальным типом личности носит одинаковый характер. В III-ей группе алекситимия практически отсутствует среди экстравертов и лиц с эмоциональной устойчивостью, будучи относительно равномерно распределена среди респондентов интернального и экстернального личностных типов (табл.1 ).
Данные анализа по общей выборке свидетельствуют, что с увеличением числа интравертов, при относительном постоянстве частоты выявления лиц с алекситимией, с возрастом процент интравертов с алекситимией почти параллельно нарастает. С возрастом отмечается также рост числа респондентов с экстернальным типом личности, между тем как изменение процентного распределения общего числа лиц с алекситимией, как и респондентов, характеризующихся экстернальным типом личности в сочетании с алекситимией происходит почти параллельно.
Таблица 1. Возрастные особенности процентного распределения алекситимии у респондентов с различными характеристиками эмоционально-личностной сферы. n – общее число респондентов; n1 – распределение лиц по исследуемым характеристикам.
| интраверт | экстраверт | эмоц. уст. | эмоц. неуст. | экстерн. | интерн. | |
| I группа (n=200) | ||||||
| n1 | 42 | 81 | 54 | 88 | 54 | 94 |
| алекситимия % | 33.3 | 37.0 | 7.4 | 57.9 | 51.1 | 14.8 |
| II группа (n=61) | ||||||
| n1 | 22 | 11 | 18 | 22 | 38 | 10 |
| алекситимия % | 45.4 | 36.4 | 11.1 | 63.6 | 39.4 | 40.0 |
| III группа (n=60) | ||||||
| n1 | 31 | 6 | 15 | 24 | 40 | 8 |
| алекситимия % | 38.7 | 1.2 | 2.3 | 41.6 | 32.5 | 25.0 |
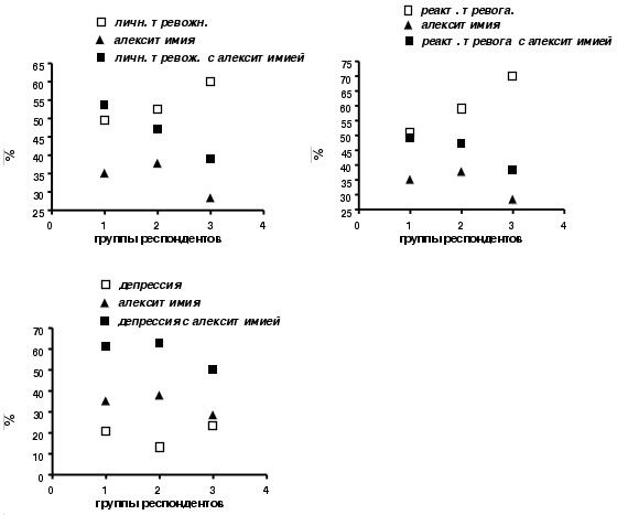
Примечательно, что с возрастом происходит прогрессирующее снижение числа респондентов у которых эмоционально неустойчивый тип личности сочетается с алекситимией, при этом возрастная динамика изменений процентного распределения раздельно по показателю эмоциональной неустойчивости и алекситимии носит разнонаправленный характер (рис.4).

Рис.4. Динамика возрастных изменений взаимосвязи алекситимии с некоторыми характеристиками эмоционально-личностной сферы.
Изучение взаимоотношений алекситимии, тревоги и депрессии позволило установить, что на фоне увеличения с возрастом числа лиц респондентов с высоким уровнем личностной тревожности и реактивной тревоги, число респондентов с сочетанием тревоги и алекситимии несколько уменьшается. Значительно менее выражена динамика изменений числа лиц с легким уровнем депрессии ситуативного или невротического генеза и ее сочетания с алекситимией (рис.5).

Рис.5. Динамика возрастных изменений взаимосвязи процентного распределения алекситимии и ее cочетания с некоторыми характеристиками эмоционально-личностной сферы.
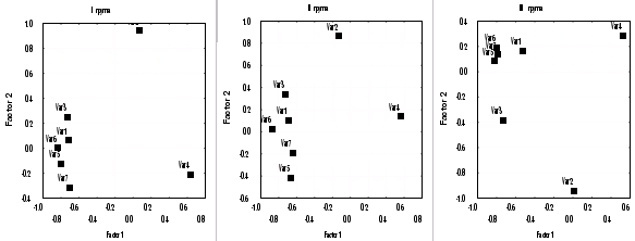
Принимая во внимание существующие разноречия в понимании алекситимического типа личности, как и данные относительно возможности его сочетания с различными характеристиками эмоционально-личностной сферы, был проведен корреляционный и факторный анализ изучаемых показателей среди респондентов различных возрастных групп. Полученные результаты свидетельствуют об изменении с возрастом коэффициентов корреляции изученных показателей эмоционально-личностной сферы, как и картины распределения исследуемых характеристик в рамках двухфакторной модели (табл.2, рис.6,7).
Таблица 2.
Динамика возрастных изменений корреляции алекситимии с некоторыми характеристиками эмоционально-личностной сферы. M±SE – в баллах * -P< 0.05 **- P< 0.01 ***- P< 0.001
| I группаTAS (M±SE) 68.2±0.81 | ||||
| Spearman | Kendall Tau | beta | M±SE | |
| EPI-2 | – 0.04 | – 0.02 | – 0.01 | 13.4±0.25 |
| EPI-3 | 0.45* | 0.32* | 0.45*** | 13.4±0.31 |
| Rotter | – 0.42* | – 0.31* | – 0.43*** | 4.7±0.16 |
| STAI-I | 0.45* | 0.32* | 0.47*** | 46.4±0.75 |
| STAI-II | 0.49* | 0.35* | 0.50*** | 46.0±0.64 |
| BDI | 0.45* | 0.32* | 0.42*** | 6.0±0.45 |
| II группаTAS (M±SE) 68.5±1.59 | ||||
| Spearman | Kendall Tau | beta | M±SE | |
| EPI-2 | 0.05 | 0.03 | 0.04 | 11.3±0.44 |
| EPI-3 | 0.52* | 0.39* | 0.51*** | 12.8±0.49 |
| Rotter | – 0.18 | – 0.14 | – 0.19 | 3.9.±0.29 |
| STAI-I | 0.29* | 0.19* | 0.31** | 47.7±1.34 |
| STAI-II | 0.50* | 0.36* | 0.51*** | 46.4±1.12 |
| BDI | 0.34* | 0.25* | 0.33** | 5.0±0.61 |
| III группа TAS (M±SE) 68.3±1.41 | ||||
| Spearman | Kendall Tau | beta | M±SE | |
| EPI-2 | – 0.05 | – 0.04 | – 0.12 | 10.4±0.48 |
| EPI-3 | 0.39* | 0.28* | 0.37** | 13.8±0.55 |
| Rotter | – 0.19 | – 0.13 | – 0.19 | 3.8±0.27 |
| STAI-I | 0.36* | 0.25* | 0.35** | 50.0±1.15 |
| STAI-II | 0.24* | 0.16* | 0.25* | 48.3±1.01 |
| BDI | 0.33* | 0.22* | 0.26* | 6.0±0.68 |

Рис. 6. Возрастные изменения коэффициента корреляции beta (множественная линейная регрессия) исследуемых показателей эмоционально-личностной сферы.

Рис.7. Факторный анализ взаимосвязи алекситимии с некоторыми показателями эмоционально- личностной сферы респондентов различных возрастных групп. Обозначения:Var1 – TAS, Var2 – EPI-2, Var3 – EPI-3, Var4 – Rotter, Var5 – STAI-I, Var6 – STAI-II, Var7 – BDI.
Таким образом, на основании результатов проведенных психометрических исследований можно заключить, что алекситимия не может быть рассмотрена, как это считает ряд авторов, лишь в качестве предиктора или признака психосоматизации личности, поскольку она четко выявляется у практически здоровых лиц различных возрастных групп. Относительно постоянная частота выявления алекситимии у лиц различных возрастных групп, как и ее ассоциирование с рядом показателей эмоционально-личностной сферы, дают основание полагать, что скорее всего алекситимия может быть рассмотрена в качестве одного из компонентов интегральной характеристики личности. Подтверждением состоятельности подобного предположения являются данные о возрастных особенностях характера корреляции алекситимии с тревогой и депрессией, как и ее взаимосвязи с такими показателями как интраверсия, эмоционально неустойчивый и экстернальный типы личности.
Aftanas L.I., Varlamov A.A. Effects of alexithymia on the activity of the anterior and posterior areas of the cortex of the right hemisphere in positive and negative emotional activation. //Neurosci Behav Physiol. 2007. Vol.37. P.67-73.
Bailey P.E., Henry J.D. Alexithymia, somatization and negative affect in a community sample. //Psychiatry Res. 2007, Vol.150, P.13-20.
Bermond B., Vorst H.C., Moormann P.P. Cognitive neuropsychology of alexithymia: implications for personality typology. //Cognit. Neuropsychiatry. 2006, Vol.11, P.332-360.
Bernard L.O. Resolving Ethical Dilemmas. A Guide for Clinicians. (ed.D.C.Retford). Baltimore, Maryland. 1995.
Berthoz S., Consoli S., Perez-Diaz F., Jouvent R. Alexithymia and anxiety: compounded relationships? A psychometric study. //Eur. Psychiatry. 1999. Vol.14. N7. P.372-378.
Berthoz S., Perdereau F., Godart N., Corcos M., Haviland M.G. Observer- and self-rated alexithymia in eating disorder patients: levels and correspondence among three measures. //J.Psychosom.Res.2007, Vol.62., P. 341-347.
Fortune D.G., Richards H.L., Griffiths C.E., Main C.J. Psychological stress, distress and disability in patients with psoriasis: consensus and variation in the contribution of illness perceptions, coping and alexithymia. //Br. J. Clin. Psychol. 2002. Vol.41. N2. P.157-174.
Frewen P.A., Pain C., Dozois D.J., Lanius R.A. Alexithymia in PTSD: psychometric and FMRI studies. //Ann. NY Acad. Sci. 2006. Vol.1071. P.397-400.
Friedberg F., Quick J. Alexithymia in chronic fatigue syndrome: associations with momentary, recall, and retrospective measures of somatic complaints and emotions. //Psychosom. Med. 2007, Vol.69, P.54-60.
Frith U. Emanuel Miller lecture: confusions and controversies about Asperger syndrome. //J. Child. Psychol. Psychiatry. 2004. Vol.45. N4. P.672-686.
Jerlang B.B. Burning mouth syndrome (BMS) and the concept of alexithymia - a preliminary study. //J. Oral Pathol. Med. 1997. Vol.26. N6. P.249-253.
Jimerson D.C., Wolfe B.E., Franko D.L., Covino N.A., Sifneos P.E. Alexithymia ratings in bulimia nervosa: clinical correlates. //Psychosom. Med. 1994. Vol. 56. N.2. P.90-93.
Kooiman C.G., Bolk J.H., Brand R., Trijsburg R.W., Rooijmans H.G. Is alexithymia a risk factor for unexplained physical symptoms in general medical outpatients? //Psychosom. Med. 2000, Vol.62, P.768-778.
Le H.N., Ramos M.A. The relationship between alexithymia and perinatal depressive symptomatology. //J. Psychosom. Res. 2007, Vol.62, P.215-222
Lundh L.G., Johnsson A., Sundqvist K., Olsson H. Alexithymia, memory of emotion, emotional awareness, and perfectionism. //Emotion. 2002. Vol.2. N4. P.361-379.
Mann L., Wise T.N., Trinidad A., Kohanski R. Alexithymia, affect recognition, and five factors of personality in substance abusers. //Percept. Mot. Skills. 1995. Vol. 81. N1. P.35-40.
Martina L. Modulation between alexithymic characteristic internal reality (Tas 20) and external coping in a group of artisans. //G. Ital. Med. Lav. Ergon. 2006, Vol.28, P. 217-219.
Matsumoto A., Ichikawa Y., Kanayama N., Ohira H., Iidaka T. Gamma band activity and its synchronization reflect the dysfunctional emotional processing in alexithymic persons. //Psychophysiology. 2006. Vol.43. N6. P.533-540.
Mattila A.K., Salminen J.K., Nummi T., Joukamaa M. Age is strongly associated with alexithymia in the general population. //J. Psychosom. Res. 2006, Vol.61,P.629-635.
Mikolajczak M., Luminet O., Menil C. Predicting resistance to stress: incremental validity of trait emotional intelligence over alexithymia and optimism. //Psicothema. 2006. Vol.18. Suppl. P.79-88.
Moriguchi Y., Ohnishi T., Lane R.D., Maeda M., Mori T., Nemoto K., Matsuda H., Komaki G. Impaired self-awareness and theory of mind: an fMRI study of mentalizing in alexithymia. //Neuroimage. 2006. Vol.32. N3. P.1472-1482.
Mueller J., Alpers G.W., Reim N. Dissociation of rated emotional valence and Stroop interference in observer-rated alexithymia. //J. Psychosom. Res. 2006,Vol.61, P.261-269.
Muneta S., Kobayashi T., Matsumoto I. Personality characteristics of patients with "white coat" hypertension. //Hypertens. Res. 1997. Vol.20. N2. P.99-104.
Nunnally J.C., Bernstein I.H. Psychometric theory. New York: McGraw-Hill. 1994.
Peters R.M., Lumley M.A. Relationship of alexithymia to cardiovascular disease risk factors among African Americans. //Compr Psychiatry. 2007. Vol.48. N1. P.34-41.
Porcelli P., Bagby R.M., Taylor G.J., De Carne M., Leandro G., Todarello O. Alexithymia as predictor of treatment outcome in patients with functional gastrointestinal disorders. //Psychosom. Med. 2003. Vol. 65. N5. P.911-918.
Porcelli P., Leoci C., Guerra V., Taylor G.J., Bagby R.M. A longitudinal study of alexithymia and psychological distress in inflammatory bowel disease. //J. Psychosom. Res. 1996. Vol.41. N6. P.569-573.
Rosner B. Fundamentals of Biostatistics. Thomson. Brooks/Cole. 2006.
Salminen J.K., Toikka T., Kauhanen J. Alexithymia behaves as a personality trait over a 5-year period in Finnish general population. //J. Psychosom. Res. 2006, Vol.61, P.275-278.
Sifneos P.E. The prevalence of ''alexithymic'' characteristics in psychosomatic patients. //Psychother. Psychosom. 1973. Vol.22. P.255-262.
Sifneous P.E. Alexithymia: past and present //Am.J. Psychiat. 1996, Vol.153, P.137-142.
van Wout M., Aleman A., Bermond B., Kahn R.S. No words for feelings: alexithymia in schizophrenia patients and first-degree relatives. //Compr. Psychiatry. 2007, Vol.48, P.27-33.
Vanheule S., Desmet M., Meganck R., Bogaerts S. Alexithymia and interpersonal problems. //J. Clin. Psychol. 2007, Vol.63, P.109-117.
Velasco C., Fernandez I., Campos M. Perceived emotional intelligence, alexithymia, coping and emotional regulation. //Psicothema. 2006, Vol.18, P.89-94.
Wise T.N., Mann L.S. The attribution of somatic symptoms in psychiatric outpatients. //Compr. Psychiatry. 1995. Vol. 36. N6. P.407-410.